中咨視界
武博祎 等 | ?基于基礎信息要素的重大科技工程項目全過程管理及績效評價研究
| |||||
| |||||
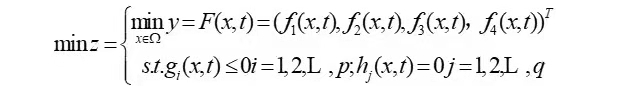
基于基礎信息要素的重大科技工程項目全過程管理及績效評價研究 中國國際工程咨詢有限公司 武博祎 哈爾濱工程大學 陳茜、蘆翰晨、陳俊清 摘要:文章基于系統工程、綜合集成等相關理論,堅持需求導向,從重大科技工程項目落實全要素、全過程軍民融合和協同創新,以及對重大科技工程項目實施科學和精細化管理出發,將重大科技工程項目所表現和涉及的基礎要素按如下七個維度進行劃分:項目技術指標E(t)、項目標準規范S(t)、產品配套結構P(t)、保障資源配置R(t)、制造工藝技術I(t)、項目任務計劃W(t)、組織管理效能O(t),并提出各維度要素及項目成本、質量、進度、協同四大特征與整個工程項目績效評價方法,以便實現重大科技工程項目全要素、全過程動態集成管理和績效評價,為科學決策提供支持。 關鍵詞:重大科技工程項目;要素;集成管理;績效評價 一、引言 為提升國家戰略實力,增強自身競爭優勢,包括美國、俄羅斯、日本、印度、歐洲等國家和地區都積極組織實施集工程研制、科學研究和能力建設目標為一體、軍民融合的重大科技工程項目。為實現我國戰略發展目標,國家2006年2月發布《國家中長期科學和技術發展規劃綱要(2006-2020)》[1],確定了關系國計民生的16個重大專項;2017年科技部啟動了“科技創新2030-重大項目”,對重大科技工程項目進行布局。這些重大科技工程項目的實施,對解決國家安全重大問題,推動科技進步,服務經濟社會發展,提升產業整體競爭力,增強綜合國力具有重大戰略意義。 重大科技工程項目是集科學層次理論研究與核心技術突破、技術層次資源集成與開發實施、工程層次產品(設施)研制于一體,且具有軍民融合屬性的復雜巨系統[2]。具有實施周期長、投資大、領域廣、風險高等特點,需要各參研參建單位資源共享、協同創新,各相關主體對項目涉及的要素進行科學和精細化管理,才能完成項目既定目標,并使軍民融合和科技協同創新戰略得以貫徹落實。但從現實情況看,目前我國重大科技工程項目管理仍普遍采用上世紀50年代美國項目管理協會提出的項目管理方法,重點關注項目進度、成本和質量等中觀特征要素,對影響項目預算變化、進度調整、質量保證等問題,特別是項目深度軍民融合效能問題,缺乏有針對性的基礎信息要素分析和管理。因此,在國家要求在相關領域實現全要素軍民融合深度發展的大背景下,如何在一定的約束條件下對重大科技工程項目組織實施科學、精細和動態管理,并使其實現既定目標,是一個重要且急需解決的問題。 我國現行基于美國上世紀提出的項目管理理論制定的針對科技工程項目管理方法,一直以來對項目管理取得了積極的成效,但隨著人們認知自然世界的不斷深入、所面臨問題的不斷變化、對重大科技工程項目管理要求的提高,需要有能夠全面、系統、量化、精細反映重大科技工程項目本質運動狀態的管理方法,以便對項目實施的變化趨勢、項目目標實現可能遇到的風險進行準確分析判斷,適應管理的科學化、系統化、精準化、協同化要求。因此,本文通過剖析重大科技工程項目基礎信息要素,構建基于信息要素的績效評價體系,實現全要素、全過程的科學化、系統化、知識化、精準化、準實時動態管理,具有一定的理論和實際應用意義。 二、重大科技工程項目管理研究現狀 重大科技工程項目全要素、全過程管理研究目前處于起步階段,研究成果相對較少,研究的視角主要集中在從國家宏觀層面及微觀重大科技工程項目過程管理兩方面開展研究。 宏觀角度研究重大科技工程項目管理的目的在于為其培育較好環境,完善相關政策,優化重大科技工程項目資源配置,推動重大科技工程項目成功實施。國家為項目的實施能夠達到預期的目標,對重大科技工程項目制定相關的政策、法規及激勵、評價、審核機制,建立與重大科技工程項目全壽命周期相匹配的管理制度和方法,針對項目方案論證、工程研制、生產交付、運行維護維修和退役回收等相應階段[3],確定各環節里程碑并予以制約、管制,建立有效監督機制加強對重大科技工程項目宏觀管理?;诖?,學者在監督機制建立[4]、重大科技工程項目評價[5]、國內外重大科技工程項目管理等方面開展了相關研究。 微觀角度研究重大科技工程項目主要以項目全壽命周期過程管理為對象[6]。重大科技工程項目是一開放復雜巨系統,具有投資規模大、實施周期長[7]、技術風險高、參與單位多、專業領域廣、任務層級多、管理任務重等內在特點,對項目的過程管理提出了更新、更高的要求。諸多學者致力于研究相應方式方法,使過程管理綜合集成遵循某種法則,通過約定項目信息傳遞方式、組織管理規范,使項目管理呈現有序和統一狀態。目前,重大科技工程項目過程管理主要從界面管理、知識管理、創新工程三個角度展開研究。從界面管理角度展開研究的學者認為界面為各子系統之間相互區別又相互聯系的紐帶[8],只有做好橫向眾多參與單位之間接口及縱向實施過程各階段接口管理工作,才能使重大科技工程項目實現資源最優配置,完成重大科技工程項目目標,學者主要從合作界面及組織界面兩個維度展開研究,進行關鍵界面識別及研究整合優化方法。從知識管理角度開展研究的學者認為,知識是重大科技工程項目實施過程中流動的“血液”,故侯光明從知識工程角度研究重大科技工程項目隱性知識耦合模型、傳承模型、集成模型等,對重大科技工程項目知識管理有一定借鑒作用[9]。從創新工程角度研究重大科技工程項目學者認為,重大科技工程項目需要各專業各學科基礎研究作為支撐進行核心技術突破,是國家創新系統重要組成部分,學者從技術創新及影響因素等方面展開研究,力爭提高科技水平,縮小與國際差距,實現國家戰略目標。 綜上所述,目前關于重大科技工程項目管理,宏觀方面,正在通過研究不斷完善重大科技工程項目相關政策和監督、考核、評價機制,已初見成效;微觀方面,學者致力于重大科技工程項目過程管理工具、方法研究,其研究成果都是基于采用美國項目管理協會提出的項目管理理論展開,關注成本、進度、質量,但由于這三個項目目標是受多種和多重具體基礎要素決定的,只對其進行管理而不關注具體基礎要素,使項目管理難以深入,不能體察項目最本質的深層次運動規律,從而導致對改進項目管理提出的措施缺乏針對性和基礎性,需從影響項目的最基礎要素入手,實現對項目管理的精準化、透明化、基礎化。另外,從重大科技工程項目管理的現實情況看,缺乏對項目精細化的管理和系統的績效評價?;诖?,本文從剖析重大科技工程項目具體基礎要素出發,建立各具體基礎要素隨項目進程的動態變化對重大科技工程項目成本、進度、質量與協同的影響函數,對項目目標進行全過程動態控制,進而實現對項目整體狀態進行全方位把握總體構想。 三、重大科技工程項目全過程管理及績效評價構建理論基礎 本文采用系統工程理論,項目管理理論,運用綜合集成思想作為構建機理建立項目多目標集成優化模型與績效評價體系。 (一) 系統工程理論 重大科技工程項目研發屬于開放復雜巨系統活動,是由可行性論證、規劃與計劃、實施與控制、驗收與交付過程組成的集合體。要完成重大科技工程項目目標,實現預期效益和成果,需要各過程相互關聯、有機結合。實施中各單位、部門、過程之間都需要進行物質、信息、能量交換,重大科技工程項目各分系統組合會涌現出其自身孤立狀態未有的新質,從而進行不斷演化。若想實現系統整體功能最優,就需要探究演化系統發展一般規律,運用運籌學、控制論與信息學等相關理論研究確定重大科技工程項目系統整體最優的方法,正是開放復雜巨系統理論的研究內容。 (二)項目管理理論 重大科技工程項目作為一復雜巨系統,需運用項目管理理論,根據項目指標,建立科學有效的組織,制定合理進度計劃,根據行業標準規范、制造工藝技術及產品配套結構,進行有效資源配置,多方主體共同參與完成,保證重大科技工程項目實現預定目標。 (三)綜合集成思想 集成就是將兩個以上的單元(要素、系統)集合在一起形成一有機整體過程[10]。集成不是各部分簡單疊加,而是經過優化、選擇、搭配形成有效整體,實現最優資源配置,獲取最佳建設成果。重大科技工程項目實行全要素、全過程、全主體精準科學管理,包含要素集成、過程集成、主體行為集成。 1.基礎要素集成 重大科技工程項目實施的全過程由基礎要素加以反映。這些基礎要素的動態變化、相互耦合、有機結合決定重大科技工程項目全過程運行態勢及目標的達成??茖W合理的分析重大科技工程項目基礎要素集成規律,項目相關主體可據此科學和精細化的制定重大科技工程項目實施策略;根據項目基礎要素間能量和信息傳遞判斷其達到預定目標的整體演進態勢;及時采取相對應調整策略使項目功能整體績效最佳。 2.實施過程集成 重大科技工程項目實施一般都經歷方案論證、關鍵技術攻關、產品研制、系統實驗、運行改進等多個階段,且相互關聯互相影響,是一個集成統一的過程。在項目實施的不同階段,每一基礎要素隨項目推進呈現動態演化,故探尋重大科技工程項目內部運行機理,合理配置各類要素以使項目整體最優,不能局限于某一階段、某一時間點,而應研究重大科技工程項目全過程。 3.主體行為集成 重大科技工程項目由于規模龐大,參與方眾多,包含管理主體、使用主體、實施主體、服務主體等。在項目實施過程中,不同的主體為實現重大科技工程項目預定目標,各自承擔不同的任務、履行不同的職責,通過傳遞項目相關信息協同工作。對各類主體的行為進行集成,有利于通過對各相關主體行為的約束和激勵,使重大科技工程項目實施的效果最佳接近預定目標。 四、重大科技工程項目基礎信息要素分析 多年來,世界上不同國家,為發展科學技術、提高軍事實力、推動產業升級、搶占科技發展制高點、彰顯國家綜合實力,紛紛組織論證并實施重大科技工程項目。如:美國的阿波羅載人登月工程項目、GPS導航系統工程項目,我國的“兩彈一星”工程、載人航天工程、大飛機工程等。此類重大科技工程項目的實施,都要實現科學技術、工程產品研制和相關能力發展等三個目標。這三個目標,需要通過完成一系列在項目全壽命周期內,以項目基礎信息要素表達的產品特性、技術規范、行為活動來實現。 根據重大科技工程項目產生、發展全過程,經深入調研分析,從確定項目是什么、執行哪些標準、由哪些零部組件構成、都完成哪些工作任務、需要哪些資源保障、用什么工藝技術、由誰來完成等角度出發,將重大科技工程項目基礎要素按七個維度進行了劃分,即:項目技術指標E(t)、項目標準規范S(t)、產品配套結構P(t)、項目任務計劃W(t)、保障資源配置R(t)、制造工藝技術I(t)、組織管理效能O(t)。這七個維度的要素即獨立存在,又相互關聯、相互作用、相互影響,從數學的角度看其構成一個綜合反映重大科技工程項目某一時間剖面狀態的系統網絡函數,隨時間演進變化反映重大科技工程項目運動發展態勢和目標。 (一)項目技術指標E(t) 重大科技工程項目全壽命周期內所有活動都圍繞項目技術指標E(t)展開,項目技術指標實現度可從技術目標層面反映項目執行過程的運動態勢。項目技術指標E(t)作為重大科技工程項目的基礎要素之一,具體包括對壽命、能耗、可靠性、環境適應性、安全性、保障性、測試性、維修性等進行描述的事項。 (二)項目標準規范S(t) 重大科技工程項目從立項至終止全壽命周期內的活動、物質、數據信息眾多,應有統一的標準規范,保證工作的協調性、方法的一致性、質量的可溯性、費用的確定性等。標準規范作為重大科技工程項目基礎要素之一,為便于與項目活動、項目指標等相對應,同時有利于開展對項目運動的分析,并深入分析其對項目目標的影響,將其分為:(1)反映項目功能的技術標準;(2)反映項目性能的產品標準;(3)保障項目運營的使用標準;(4)規范項目實施活動的管理標準;(5)約束實施主體行為的工作標準等五類。 (三)產品配套結構P(t) 重大科技工程項目作為開放復雜的巨系統,需配套使用眾多具有特定簡單功能和性能的零部組件產品,并通過集成構成分系統、子系統和大系統,承載項目的整體功能和性能。為便于準確核算配套產品對重大科技工程項目成本,明確驗證系統功能需要開展的試驗,需將重大科技工程項目按系統—?分系統—?部組件—?零件順序逐級分解到最小單元,并明確數量。 (四)項目任務計劃W(t) 重大科技工程項目的實施涉及設計、研發、試驗、制造、運行等眾多環節,需要多主體合理分工共同參與完成,要保證項目按約定時間完成需對任務進行分解,落實承擔單位,制訂詳細任務計劃。本文將任務計劃具體定義為各單位之間和各系統之間的任務,包括不能記入硬件研制的分系統、大系統功能、性能試驗等任務,在某一單位內部和產品部件級以下的任務不予關注,隨配套產品一同管理。 (五) 保障資源配置R(t) 保障資源配置是在項目全壽命周期不同時空階段上,為項目實施配置所需要的設備設施、人力資源等資源條件,其有效配置是重大科技工程項目成功實施保障。本文所指的資源是重大科技工程項目在全壽命周期中需要配置大量人力資源、物力資源以及軟環境建設等無形資源。具體包括從事各系統、分系統等設計、制造、試驗等工作人員,加工制造設備設施、大型試驗設施,科學技術情報、軟件等信息和工具。 (六)制造工藝技術I(t) 制造工藝技術是工業產品加工制造方法,是長期從事生產實際工作經驗總結,是指導系統設計、零部件制作,開展零部件和系統試驗并保證質量,節約能源,降低工料消耗的重要手段,也是重大科技工程項目參研部門進行生產準備、計劃調度,保證安全生產和技術工作,指導操作人員進行正確操作的重要依據。采用不同種類的制造工藝技術,對重大科技工程項目成本、質量、進度產生不同的影響,因此應作為一類重要的要素進行管理,具體包括設計技術、仿真技術、試驗技術、加工技術、測試技術等。 (七)組織管理效能O(t) 重大科技工程項目需要多機構、多部門協同完成相應工作內容,需建立管理主體、使用主體、實施主體、服務主體之間的正確組織關系,明確各主體職責,制訂合理規章制度保障其順利實施。本文重點關注:項目主體的系統性、完整性、協調性,項目成本管理、質量管理、進度管理、協同管理、合同管理制度的有效性,監督、考核、評價、激勵、約束制度的效能,從而控制好質量、進度、成本和協同,以實現項目的三個既定目標。 五、重大科技工程項目績效評價體系 對重大科技工程項目進行動態管理和績效評估,需在總目標背景下對其階段性預期目標優化設定,對基礎信息要素進行測度,通過統計分析確定四大特征要素與基礎要素關系,并對其進行績效評價,從而實現全過程動態控制,實現項目實施效率、效益、效果最大化。 (一)重大科技工程項目預期目標優化設定 重大科技工程項目需各主體在相應時間、質量、成本約束條件下協同完成,因此設定項目目標包含成本、質量、進度、協同。在論證初期設定成本、質量、進度、協同目標,且對全壽命周期內各項目標預期相應狀態進行設計。 從實際情況看,重大科技工程項目在其實施過程中,成本、質量、進度、協同等四大特征要素,在不同的任務階段隨時間受七個維度基礎要素的影響而變化,用成本控制率、質量合格率、進度達標率、協同實現率表述。根據多目標規劃模型,四大特征要素在某一時點上的狀態可分別用數學函數來表達如下: 成本控制率函數: 其中 同理,質量合格率函數為: 進度達標率函數為: 協同實現率函數為: 某一時間斷面,重大科技工程項目要進行成本控制、質量控制、進度控制、協同控制,受到相應條件約束,屬于動態多目標優化問題,故利用多目標動態優化理論建立多目標綜合優化模型[11]: 其中,評價函數 、不等式約束條件函數 ,以及等式約束條件函數 都可能隨時間t發生變化。 動態多目標優化問題目前使用較為廣泛的優化算法為進化算法、群智能算法。參考相應文獻,總結各算法優缺點,擬采用群智能算法中粒子群優化算法。粒子群優化算法于1995年由美國的James Kennedy教授和Russell Eberhart教授共同提出[12]。 該多目標集成優化模型由七個變量 N個粒子即某一時點經初始化的N個隨機解,通過迭代找到重大科技工程項目集成控制最優解。在每一次迭代中,粒子通過跟蹤粒子本身所找到的最優解,即個體極值pBest與該種群目前找到的最優解gBest來更新自己,個體極值與全局極值可分別進行如下表示: 經過迭代找到上述兩個最優值時,粒子應根據粒子群算法更新自己速度和位置,不斷迭代直到獲得該時點集成優化模型滿意解,符合重大科技工程項目成本、質量、進度和協同控制目標,確定四大特征要素及項目整體動態最優目標值,對項目全過程進行監測,建立重大科技工程項目全過程實時動態調整機制。 (二)重大科技工程項目基礎信息要素測度 重大科技工程項目在全壽命周期內七個維度基礎要素隨項目進展呈現動態變化,可分別表述為指標達標率、標準執行率、配套到位率、任務完成率、資源準備率、技術使用率、組織適應率。而上述七個維度要素又包含若干子要素,具體可用實際發生的情況與項目階段目標的相對值測度。單個子要素測度函數如下: 每個維度要素由若干子要素構成,各維度的測度函數受其子要素影響。假定每個維度有n個子要素,且該n個子要素相互獨立,則每個維度要素函數值可表示為若干子要素的乘積,分別表示如: (三)重大科技工程項目某時點績效函數 重大科技工程項目從項目立項到項目終止全壽命周期內,要按約定時間、成本、質量完成預定的目標,同時政府機構、軍事機關、各軍兵種等管理主體,企事業單位、高等院校、軍事科研單位等實施主體,各經濟和社會發展部門、各軍事作戰單位等使用主體各方須充分協同完成任務。因此,應密切關注項目成本、進度、質量、協同等四大特征及項目綜合績效。由于七個維度要素變化對重大科技工程項目成本、質量、進度、協同和綜合績效產生影響,且不同階段的影響程度不同,具有一定的關聯關系,分別表示為項目成本函數(PC)、項目質量函數(PQ)、項目進度函數(PP)、項目協同函數(PS)。具體表示如下: 項目整體完成情況可以用項目綜合績效函數進行表示,即: 考慮項目整體績效由項目成本績效、質量績效、進度績效、協同績效決定,而七個維度要素在項目實施的不同階段對上述四個特征要素績效的影響程度不同,且隨項目進展呈現動態變化,綜合構成28個影響系數矩陣。具體表示如下: 上述28個系數可根據重大科技工程項目七個維度要素的歷史數據,經過深入研究后確定。 (四)重大科技工程項目全要素、全過程績效評價模型 重大科技工程項目全要素、全過程管理思想來源于管理領域最先進的管理思想和管理方法——全系統、全壽命周期管理,屬于系統管理范疇。根據重大科技工程項目演化運行規律將其分為如下階段:方案論證、工程研制、生產交付、運行維護維修、退役回收。任何一項研究都必然有一個發展成熟的過程,重大科技工程項目必然遵循相應規律,隨研究深入,技術不斷成熟,圍繞技術本身配置(功能、性能、質量、工藝等)、技術在系統中的集成度(部件、單機、分系統、系統等)、技術進行演示或驗證的環境(實驗室環境、模擬使用環境、典型使用環境等)三個屬性逼真度逐漸接近直到形成最終產品,完成項目目標。在整個壽命周期內需對項目進行多目標優化、管理和績效評價。具體如圖1所示。 圖1 重大科技工程項目全要素、全過程、全主體績效評價模型 綜上,設定項目預期總目標(在此進行成本、質量、進度、協同等多目標優化),對項目實施過程七類要素進行監控,對成本、質量、進度、協同四大特征及項目總體進行績效評價,調整提出新的項目預期目標(在此再進行多成本等目標優化),不斷循環迭代直至完成項目。 六、結束語 本文以重大科技工程項目為對象,剖析重大科技工程項目七類基礎信息要素,分析項目目標,建立基于基礎要素的動態多目標綜合優化模型,提出運用粒子群算法解決多目標優化問題,并對項目成本、質量、進度和協同的預期與實際進行比較和實施控制;建立重大科技工程項目全過程績效評價模型,對實現重大科技工程項目科學目標、能力目標與工程目標進行風險分析、策略選擇及科學有效管理起到推動作用的初步構想。基于上述構想,還將針對重大科技項目不同目標、不同任務、不同主體、不同要素、不同階段開展深入系統的持續研究,以便形成完整的理論方法并加以應用,為我國重大科技工程項目管理提供科學有效的工具。 參考文獻 [1]張振剛,陳志明,李云健.開放式創新、吸收能力與創新績效關系研究[J].科研管理,2015(3):49-56. [2]李存金,王俊鵬.大規??茖W技術工程系統集成組織模式初探[J].科技管理研究,2013(15):235-239. [3]譚祥升.飛機工程研制階段項目管理的應用研究[D].北京航空般天大學.2006. [4]史安娜,武琳,馮楚建.公共財政投入重大科技項目監察模式創新研究[J].中國科技論壇,2012(4):11-15. [5]尤建新,曹顥,鄭海鰲.基于技術創新的科技項目績效管理研究[J].中國管理科學,2009(10):192-197. [6]黎夢瑜.基于全壽命周期的重大科技項目規范化管理研究[J].創新科技,2015(4):21-23. [7]賀新聞,王艷.大規模科學技術工程管理模式架構分析[J].中國科技論壇,2012(7):14-19. [8]劉蘭劍,黨興華.合作技術創新界面管理研究及其新進展[J].科研管理,2007(3):1-8. [9]孔德成,候光明.復雜重大科技工程隱性知識傳承模型研究[J].科學學研究,2012(10):1558-1563. [10]黃杰,熊江陵,李必強.集成的內涵與特征初探[J].科學學與科學技術管理,2003(7):20-22. [11]Cheng R, Jin Y.A social learning particle swarm optimization algorithm for scalable optimization [J]. Information Sciences, 2015(6) : 43-60. [12]Frans V D B, Engelbrecht A P. A cooperative approach to particle swarm optimization. IEEE transactions on evolutionary computation,2004(3) : 225-239. [13]呂振肅,侯志榮.自適應變異的粒子群優化算法[J].電子學報,2004,32(3):416-420. 注:原文刊載于《軍事運籌與系統工程》2018年第3期,本次發表有改動。文中圖片來源于網絡。 | |||||
相關鏈接
- 楊上明 | 推動氫能產業健康有序...2022-03-28
- 黎曉 呂倩倩 | 關于搭建大監督...2022-03-24
- 武博祎 張雪巖 | 融合·重塑“...2022-03-23
- 索明亮 | 沿江高速鐵路引入南京...2022-03-21
- 于涵 等 | 低碳城市發展與評價...2022-03-16











